SITO SCHEDA ARTA PE900112 – POZZO DISTRETTO ARTA DI PESCARA

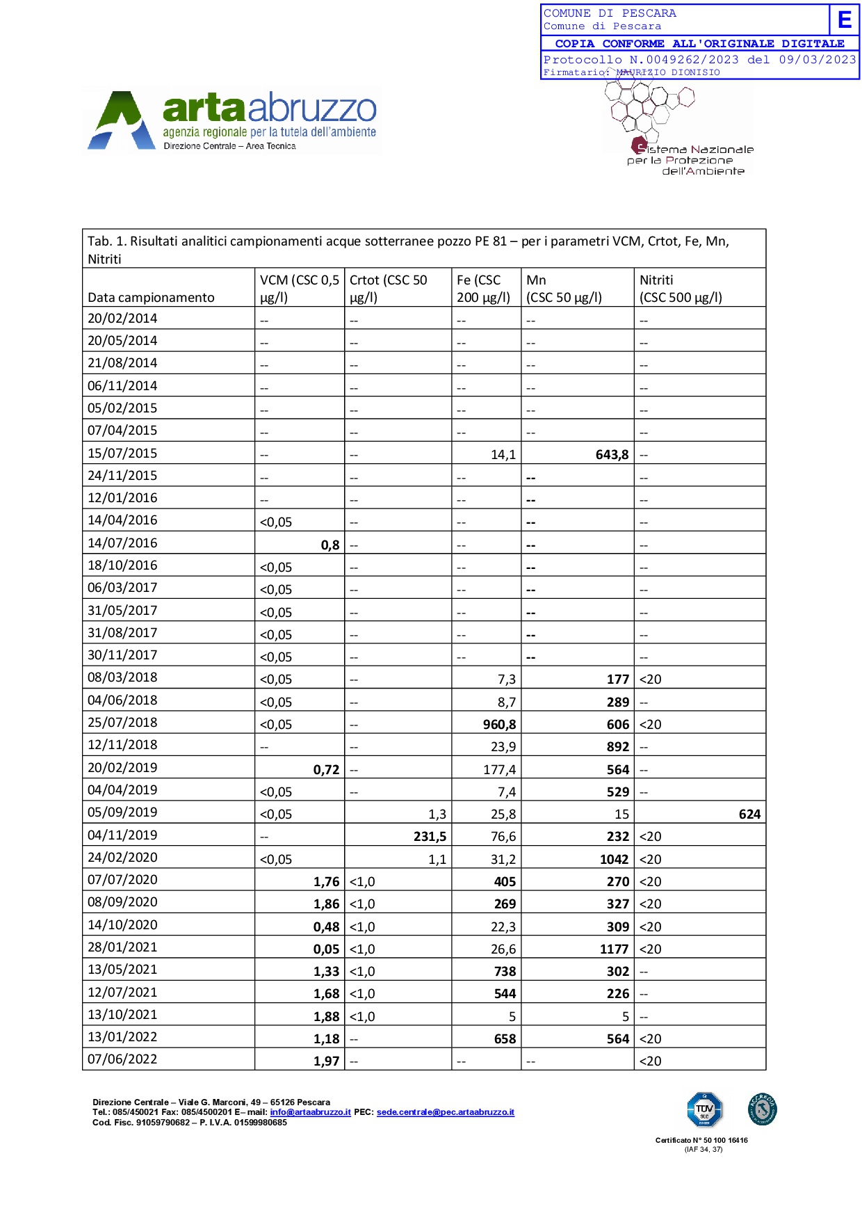
Di seguito sono riportati i risultati analitici delle acque sotterranee prelevate nel pozzo PE81 e trasmessi da ARTA con nota acquisita al prot. n. 49262 del 09/03/2023

Vai alla mappa

Di seguito sono riportati i risultati analitici delle acque sotterranee prelevate nel pozzo PE81 e trasmessi da ARTA con nota acquisita al prot. n. 49262 del 09/03/2023

Pagina aggiornata il 25/07/2025

Quanto sono chiare le informazioni su questa pagina?

Grazie, il tuo parere ci aiuterà a migliorare il servizio!

Quali sono stati gli aspetti che hai preferito? 1/2

Dove hai incontrato le maggiori difficoltà?1/2

Vuoi aggiungere altri dettagli? 2/2

Inserire massimo 200 caratteri